• Предмет: Математика
  • Автор: polakovs023
  • Вопрос задан 3 года назад

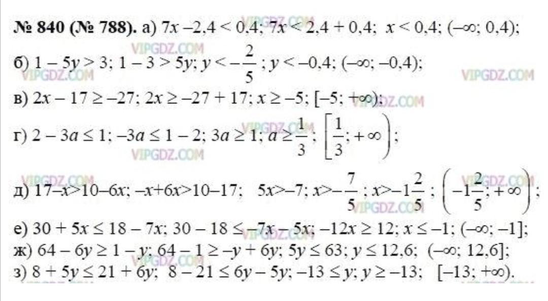
пожалуйста решите номер со стрелочками 380. Решите неравенство:
а) 7x - 2,4 < 0,4;
б) 1 – 5у > 3;
в) 2x – 172-27;
г) 2 - За < 1;​

Ответы

Ответ дал: vladislavavasileva67
0

Ответ:

Ответ в картинке прикрепленной.

Приложения:
Вас заинтересует