Ответы
Ответ дал:
0
Ответ:
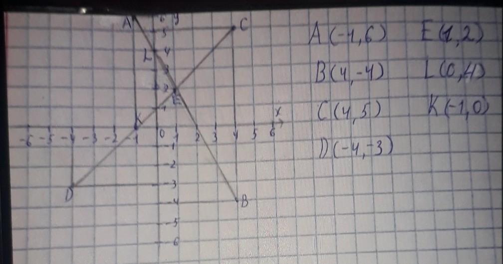
короче вот это всё переписываешь и всё
Приложения:



Вас заинтересует
2 года назад
2 года назад
2 года назад
2 года назад
8 лет назад
9 лет назад