• Предмет: Математика
  • Автор: someyayujiro2
  • Вопрос задан 3 года назад

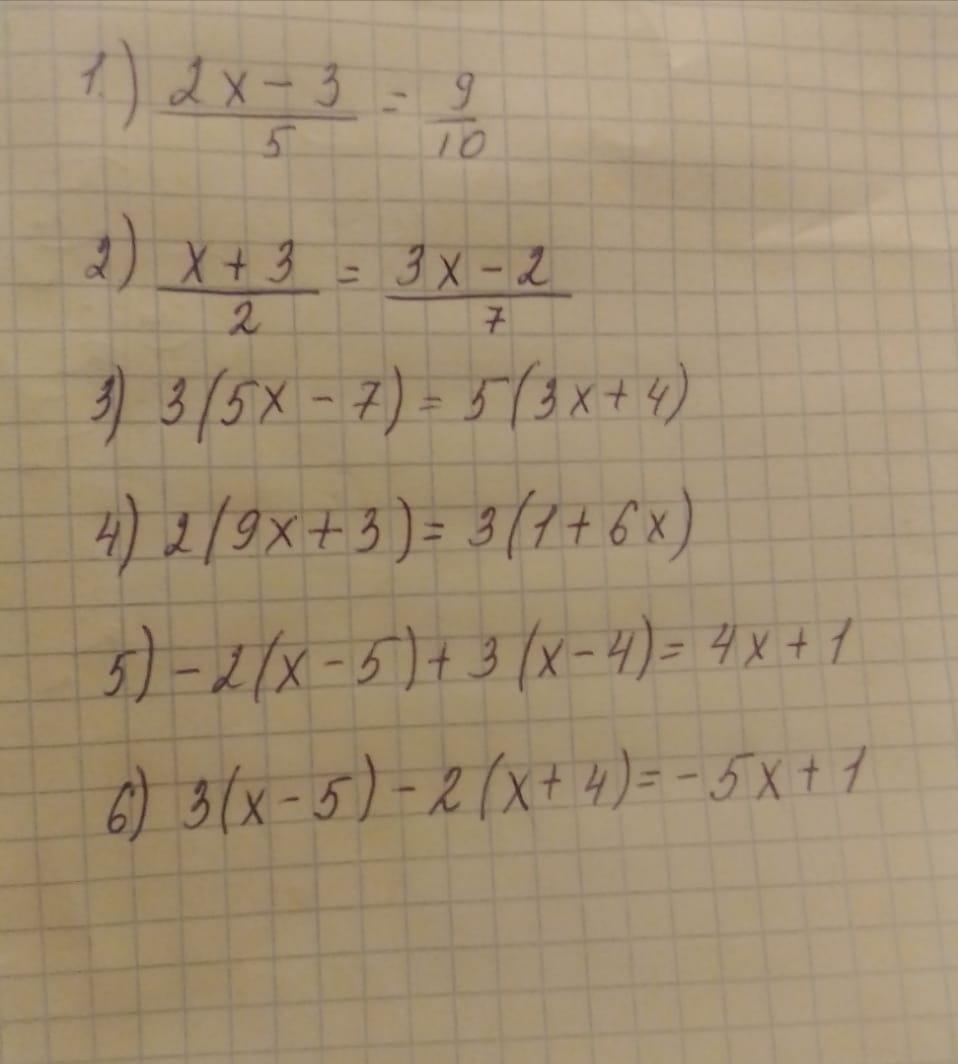
Помогите пожалуйста с математикой, 6 класс
Нужно найти x

Приложения:

Ответы

Ответ дал: serovaksusa1
2

Ответ:

Смотри решение на фото

Приложения:
Вас заинтересует