• Предмет: Алгебра
  • Автор: katie200607
  • Вопрос задан 3 года назад

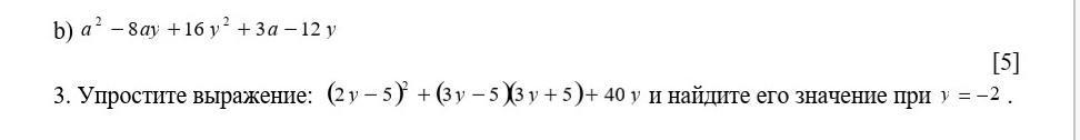
Упростите выражение:
только 3 задание. ДАЮ 20 БАЛЛОВ​

Приложения:

Ответы

Ответ дал: AndyCale
1

Ответ:

12

Объяснение:

4y² - 20y + 25 + 9y² - 15y + 15y - 25 + 40y = 13y² + 20y = y(13y + 20) = -2*(-6) = 12

Ответ дал: lenai8125
1

Ответ:

4y^{2}-20y+25+9y^{2}-25+40y=13y^{2}+20y

y=-2

13*4-20*(-2)=52-40=12

Объяснение:

Вас заинтересует