• Предмет: Физика
  • Автор: Duisenovich
  • Вопрос задан 3 года назад

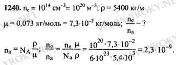
При температуре 20 ° C концентрация проводящих электронов германия составляет 10 ^ 14см ^ -3. Какая часть его атомов ионизирована? Предположим, что в среднем при ионизации теряется только валентный электрон атома.​

Ответы

Ответ дал: avekaguya
4

Ответ:

Объяснение:

при ионизации удаляется в среднем лишь один из валентных электронов атома

Приложения:
Вас заинтересует