• Предмет: Математика
  • Автор: alinakim070105
  • Вопрос задан 3 года назад

сделайте пожалуйста,сор 6 класс​

Приложения:

Аноним: ничем к сожалению не могу помочь
Аноним: :(
alinakim070105: ладно(
Аноним: у нас другой сор был
Аноним: если бы у тебя был как у меня то я бы помог

Ответы

Ответ дал: serovaksusa1
1

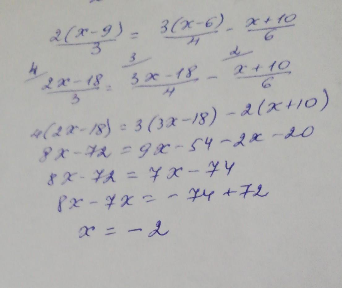
Ответ:

Смотри решение на фото

Приложения:

alinakim070105: спасибо большое )
Вас заинтересует