• Предмет: Математика
  • Автор: vladish39
  • Вопрос задан 3 года назад

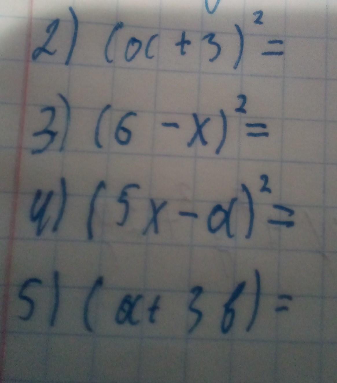
запишите выражение в виде трехчлена, пользуясь нужной формулой​

Приложения:

Ответы

Ответ дал: Аноним
1

Ответ:

2)c {}^{2} o {}^{2}  + 6co + 9

3)x {}^{2}  - 12x + 36

4)25x {}^{2}  - 10dx + d {}^{2}

5)a {}^{2}  + 6ab + 9b {}^{2}

Пошаговое объяснение:

формула:

(a + b) {}^{2}  = a {}^{2}   +  2ab + b {}^{2}

(a - b) {}^{2}  = a {}^{2}  - 2ab + b {}^{2}

Вас заинтересует