Ответы
Ответ дал:
0
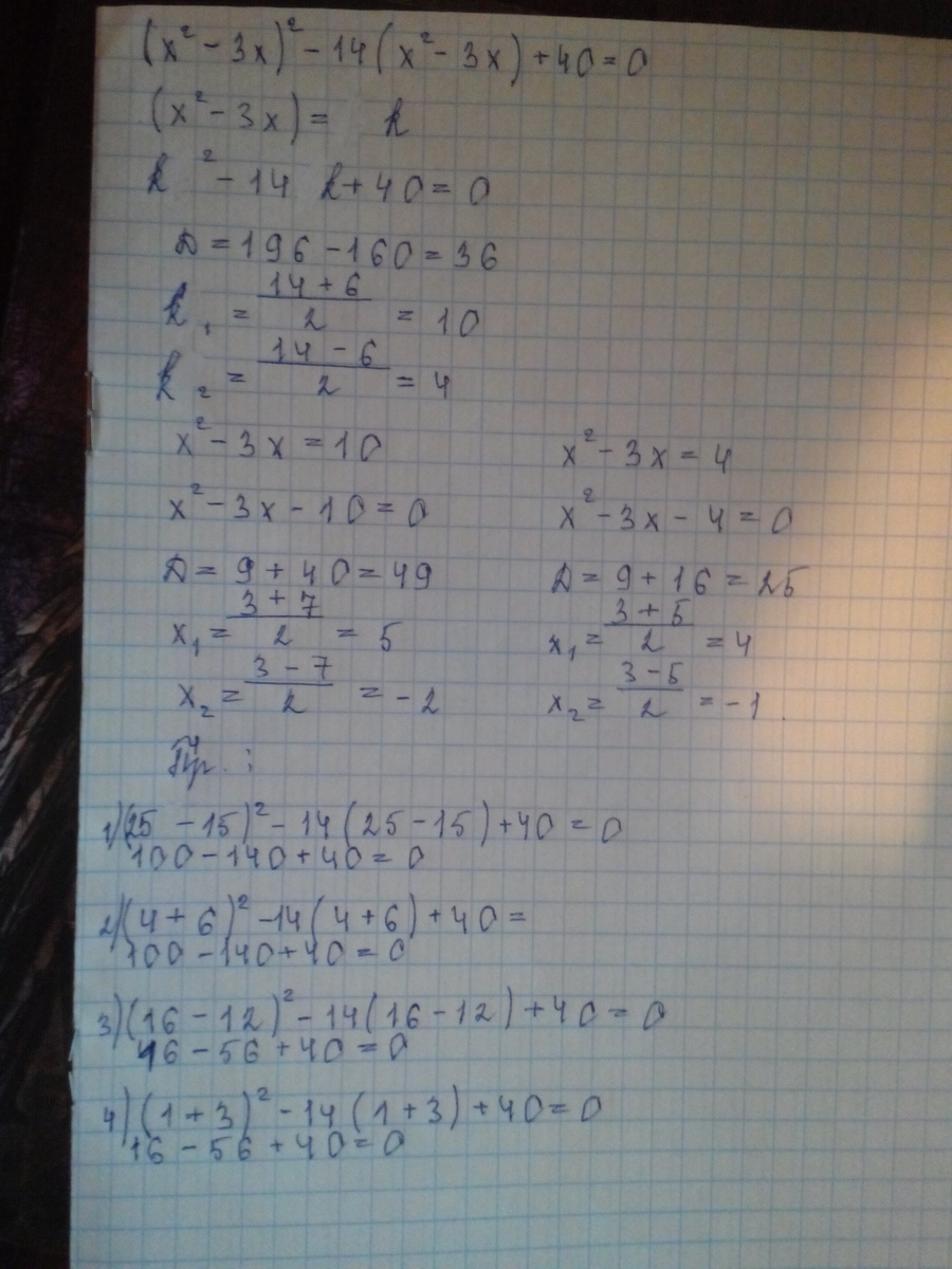
Ответ: x1=5, x2=-2, x3=4, x4=-1.
Приложения:

Ответ дал:
0
пусть x^2 - 3x = t
тогда
t^2 - 14t +40 = 0
D = 196 - 40*4 = 36
корень из D = 6
t=(14+6)/2 = 10
t = (14-6)/2=4
x^2 - 3x=10
x^2 - 3x -10=0
x1=5 x2=-2
x^2 - 3x = 4
x^2 - 3x -4 =0
x3=4 x4=-1
тогда
t^2 - 14t +40 = 0
D = 196 - 40*4 = 36
корень из D = 6
t=(14+6)/2 = 10
t = (14-6)/2=4
x^2 - 3x=10
x^2 - 3x -10=0
x1=5 x2=-2
x^2 - 3x = 4
x^2 - 3x -4 =0
x3=4 x4=-1
Приложения:

Вас заинтересует
2 года назад
2 года назад
8 лет назад
10 лет назад
10 лет назад
10 лет назад