• Предмет: Математика
  • Автор: ogog6625
  • Вопрос задан 3 года назад

ПОМОГИТЕ СРОЧНО ОЧЕНЬ!!!!!! решите производности.ПРОШУ​

Приложения:

Ответы

Ответ дал: Miroslava227
2

Ответ:

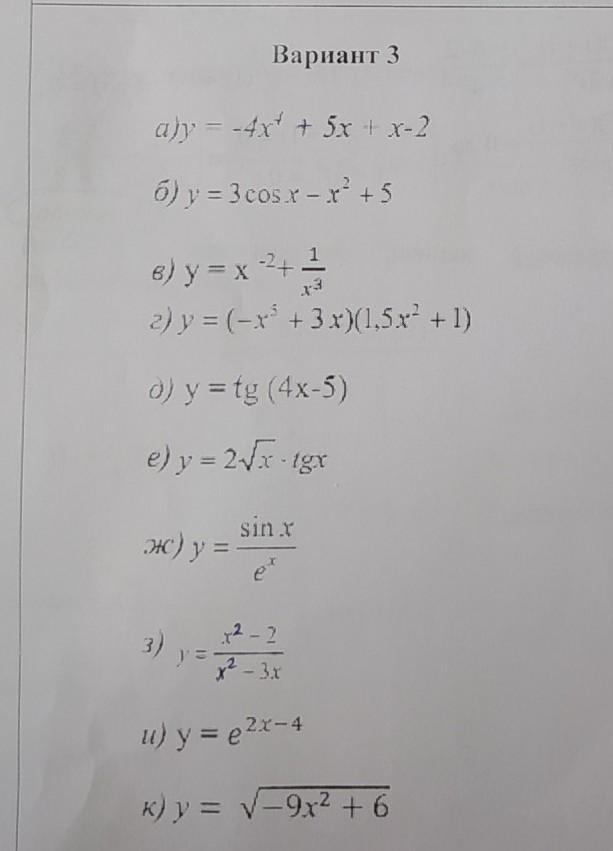
а

y' =  - 4 \times 4 {x}^{3}  + 5 + 1 =  - 16 {x}^{3}  + 6

б

y' =  - 3 \sin(x)  - 2x

в

y' =  - 2 {x}^{ - 3}  + ( {x}^{ - 3} ) '=  \\  =  - 2 {x}^{ - 3}  - 3 {x}^{ - 4}  =  -  \frac{2}{ {x}^{3} }  -  \frac{3}{ {x}^{4} }

г

y' = ( -  {x}^{5}  + 3x)'(1.5 {x}^{2}  + 1) + (1.5 {x}^{2}  + 1)'( -  {x}^{5}  + 3x) =  \\  = ( - 5 {x}^{4}  + 3)(1.5 {x}^{2}  + 1) + 3x( -  {x}^{5}  + 3x) =  \\  =  - 7.5 {x}^{6}  - 5 {x}^{4}  + 4.5 {x}^{2}  + 3 - 3 {x}^{6}  + 9 {x}^{2}  =  \\  =  - 10.5 {x}^{6}  - 5 {x}^{4}  + 13.5 {x}^{2}  + 3

д

y' =  \frac{1}{ \cos {}^{2} (4x - 5) }  \times (4x - 5)' =  \frac{4}{ \cos {}^{2} (4x - 5) }  \\

е

y' = (2 \sqrt{x} )' \times tgx + (tgx)' \times 2 \sqrt{x}  =  \\  = 2 \times  \frac{1}{2}  {x}^{ -  \frac{1}{2} }  \times tgx +  \frac{1}{ \cos {}^{2} (x) }   \times 2 \sqrt{x}  =  \\  =  \frac{tgx}{ \sqrt{x} }  +  \frac{2 \sqrt{x} }{ \cos {}^{2} (x) }

ж

y' =  \frac{( \sin(x)) ' \times  {e}^{x}   - ( {e}^{x} )' \times \sin(x) }{ {e}^{2x} }  =  \\  =  \frac{ {e}^{x} \cos(x) -  {e}^{x}   \sin(x)    }{ {e}^{2x} }  =  \frac{ \cos(x)  -  \sin(x) }{e {}^{x} }

з

y' =  \frac{( {x}^{2}  - 2)'( {x}^{2} - 3x) - ( {x}^{2} - 3x)'( {x}^{2} - 2)   }{ {( {x}^{2}  - 3x)}^{2} }  =  \\  =  \frac{2x( {x}^{2}  - 3x) - (2x - 3)( {x}^{2} - 2) }{ {( {x}^{2} - 3x) }^{2} }  =  \\  =  \frac{2 {x}^{3}  - 6 {x}^{2} - 2 {x}^{3}  + 4x + 3 {x}^{2}   - 6}{ {( {x}^{2}  - 3x)}^{2} }  =  \\  =  \frac{ - 3 {x}^{2} + 4x - 6 }{ {( {x}^{2}  - 3x)}^{2} }  =  -  \frac{3 {x}^{2}  - 4x + 6}{ {( {x}^{2} - 3x) }^{2} }

и

y '= e {}^{2x - 4}  \times (2x - 4) '= 2e {}^{2x - 4}

л

y' = ( {( - 9 {x}^{2}  + 6)}^{ \frac{1}{2} } )' =  \frac{1}{2}  {( - 9 {x}^{2}  + 6)}^{ -  \frac{1}{2} }  \times ( - 9 {x}^{2}  + 6) '=  \\  =  \frac{1}{2 \sqrt{ - 9 {x}^{2}  + 6 } }  \times ( - 18x) =  -  \frac{9x}{ \sqrt{ - 9 {x}^{2} + 6 } }

Вас заинтересует