Ответы
Ответ дал:
1
Ответ:
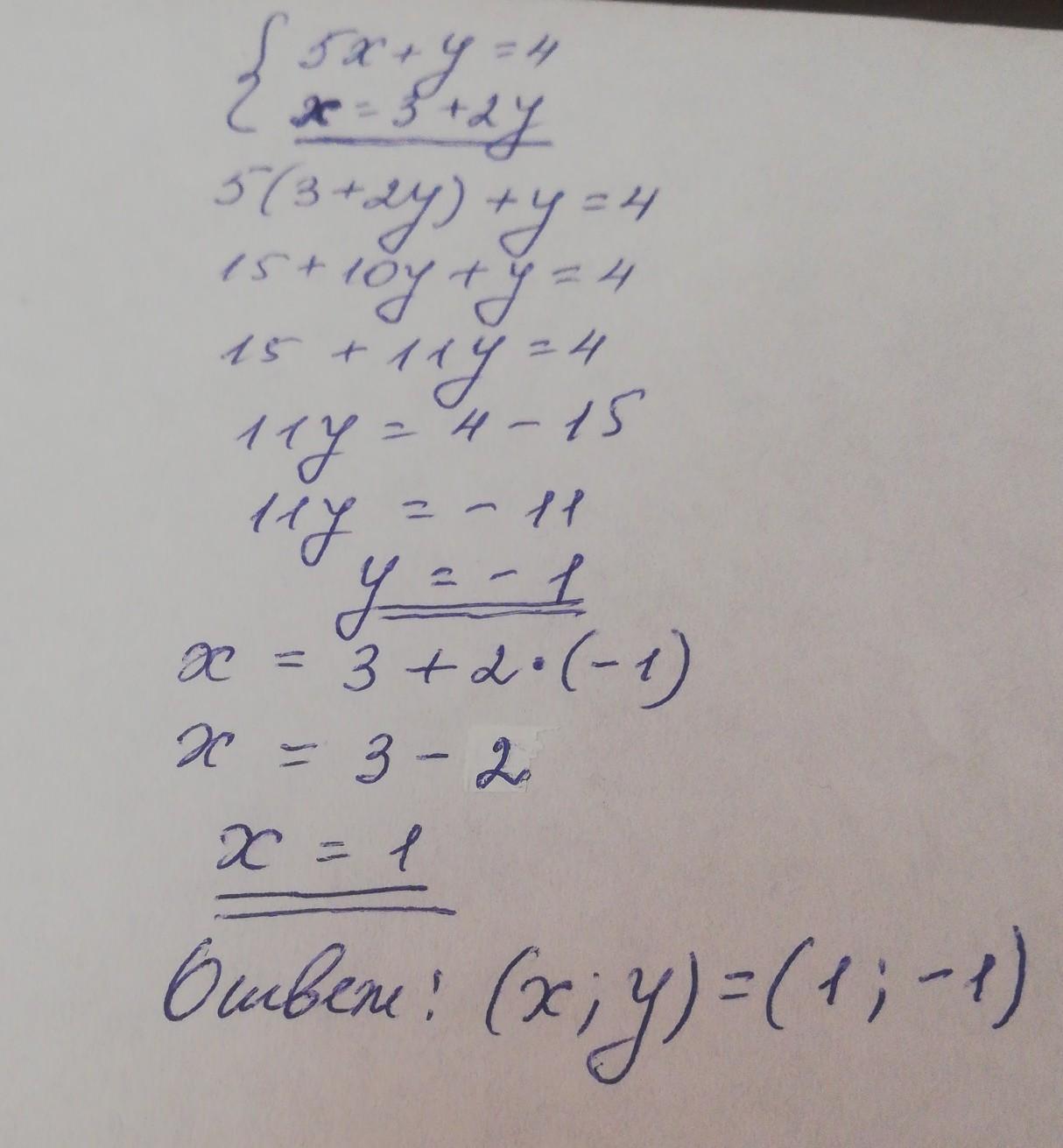
Смотри решение на фото
Приложения:

churka2506:
спасибо огромное
Ответ дал:
1
Ответ:
1, -1
Объяснение:
из первого выразим у
у=4-5х, подставим во второе
х = 3 + 2(4-5х) = 3 + 8 - 10х
х = 1
после того как нашли х, подставим в любое уравнение х и посчитаем у
например подставим в 1
5+у = 4
у = -1
Вас заинтересует
2 года назад
2 года назад
2 года назад
8 лет назад
9 лет назад