• Предмет: Алгебра
  • Автор: mrfrozenses
  • Вопрос задан 3 года назад

СРОЧНО 75 баллов!!!
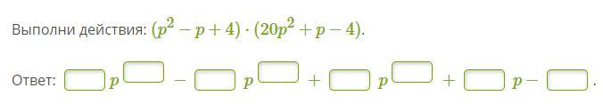
....

Приложения:

Ответы

Ответ дал: TheGood77
1

Ответ:

20p^4 - 19p^3 + 75p^2 + 8p - 16


mrfrozenses: спасибо всё правильно
Ответ дал: MuragerNurbolat
1

Ответ:20p^4 - 19p^3 + 75p^2 + 8p - 16

Объяснение: вот кажет са так ек прав прости

Вас заинтересует