• Предмет: Математика
  • Автор: sshow6124
  • Вопрос задан 3 года назад

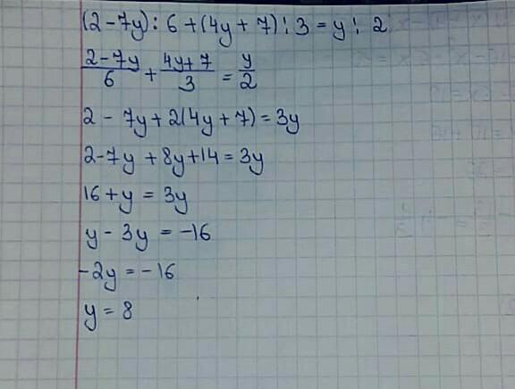
(2-7y)/6+(4y+7)/3=-y/2
СРОЧНО НУЖНО ПЖ УМОЛЯЮ ДАМ 15 БАЛЛОВ

Ответы

Ответ дал: yarkinatanya07
2

Ответ:

Ответ :у=8

Пошаговое объяснение:

решение на фото.Удачи♡♡♡

Приложения:

sshow6124: СПС
sshow6124: И тебе удачи!!!
yarkinatanya07: спасибо
Вас заинтересует