50 баллов
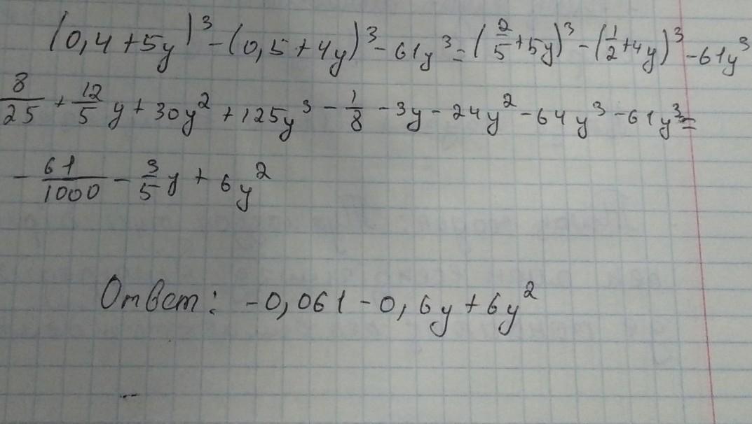
3. Упростите выражение: (0,4 + 5y)^3 - (0.5 + 4y)^3 - 61y^3 и найдите его значение при y = -1.
Ответы
Ответ дал:
2
Ответ:
Приложения:

ovcharenko28:
И тогда при у = -1 будет 6,661
Вас заинтересует
2 года назад
2 года назад
8 лет назад
8 лет назад
9 лет назад