Ответы
Ответ дал:
0
Ответ:
Пошаговое объяснение:
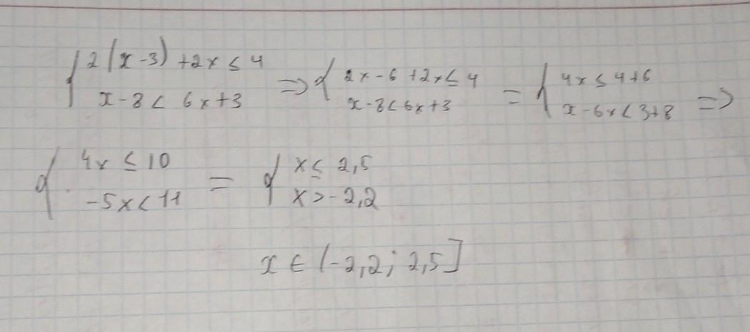
Система неравенств:
2(x-3)+2x≤4 |2
x-8<6x+3
x-3+x≤2; 2x≤2+3; x≤5/2; x≤2,5
-8-3<5x; x>-11/5; x>-2,2
x∈(-2,2; 2,5]
Ответ дал:
2
Ответ:
Приложения:

Вас заинтересует
2 года назад
2 года назад
2 года назад
8 лет назад
8 лет назад
9 лет назад