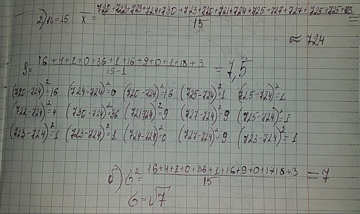
В следующей последовательности записаны результаты наблюдений атмосферного давления (в мм. рт. ст.) в Астане в течение 15 дней: 720, 722, 723, 724, 723, 720, 721, 724, 725, 727, 730, 727, 725, 725, 723. Найдите для данной выборки: а) дисперсию б) стандартное отклонение.
Ответы
Ответ дал:
10
Ответ: На фото.
Объяснение:
Приложения:

Вас заинтересует
2 года назад
2 года назад
2 года назад
2 года назад
8 лет назад
8 лет назад
9 лет назад