Ответы
Ответ дал:
1
Ответ:
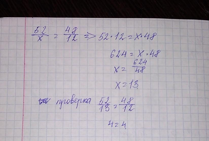
х=13
Объяснение:
52÷х=48÷12
52÷х=48÷12 х≠0
624=48х
48х=624
х=13. х≠0
х=13
Ответ дал:
0
Ответ:
.... Вот... Объяснение на фото
Приложения:

Вас заинтересует
2 года назад
2 года назад
8 лет назад
9 лет назад