• Предмет: Математика
  • Автор: dashaleif201025
  • Вопрос задан 3 года назад

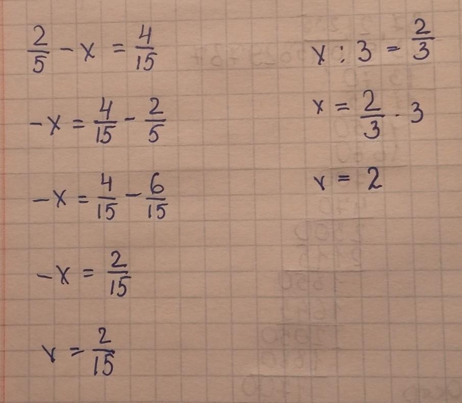
2/5-x=4/15
x:3=2/3
Помогите пожалуйста мне​

Ответы

Ответ дал: mix289
1

надеюсь все понятно...

Приложения:
Вас заинтересует