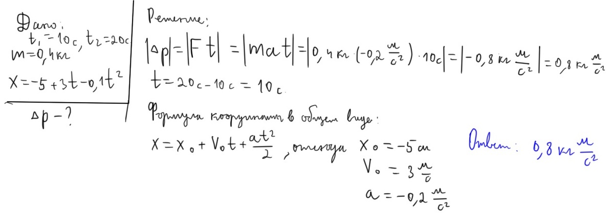
Тело массой 0,4 кг движется вдоль оси ОХ так , что его координаты меняются со временем за законом х= -5 +3t-0,1t²( координата задана в метрах) . Чему равняется модуль смены импульса тела за время t1 = 10c до t2 =20 c ?
Ответы
Ответ дал:
0
Решение на картинке.
Приложения:
Вас заинтересует
3 года назад
3 года назад
8 лет назад
8 лет назад
11 лет назад
11 лет назад
11 лет назад