• Предмет: Геометрия
  • Автор: kotikkompotik2007
  • Вопрос задан 3 года назад

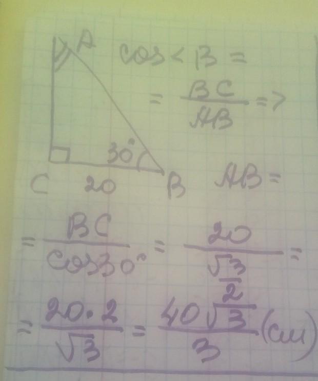
1)В прямоугольном треугольнике ABC угол B =30°, угол C = 90°, BC = 20 см. Найти гипотенузу AB.

Ответы

Ответ дал: manyny06
1

Ответ:

решение смотри на фотографии

Приложения:
Вас заинтересует