Математика СОР 5класс . 1. У Марата было 24 марок. 2/3 из них он подарил другу. Сколько осталось марок у Марата?
Ответы
Ответ дал:
0
Ответ:
Пошаговое объяснение:
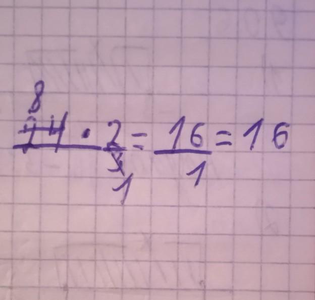
24 * 2/3= 16 марок подарил другу
24 - 16 = 8 марок осталось
Ответ дал:
0
вродебы правильно удачи
Приложения:

Вас заинтересует
2 года назад
2 года назад
8 лет назад
9 лет назад