• Предмет: Физика
  • Автор: naimaasht
  • Вопрос задан 3 года назад

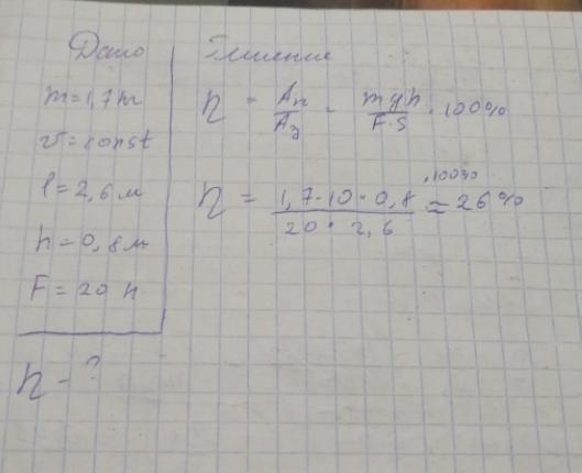
груз массой 1,7 кг равномерно переместили к вершине наклонной плоскости длиной 2,6 м и высотой 80 см при этом была приложена сила 20 Н Какова КПД установки?​

Ответы

Ответ дал: petrakov2003
3

Ответ: 26% ///////////////

Приложения:

petrakov2003: господи, фу, не пиши это
petrakov2003: я сейчас быстро перерешаю и скину нормальное, прости
petrakov2003: вот это норм должно быть)
Вас заинтересует