Ответы
Ответ дал:
1
Ответ:
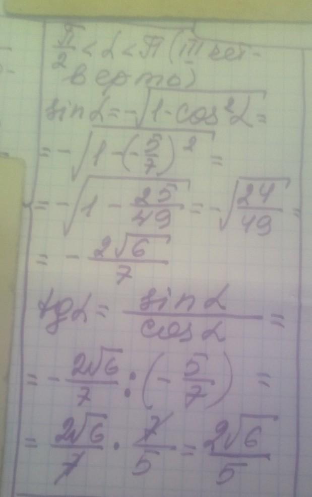
решение смотри на фотографии
Приложения:

catherinedmitrievna:
Спасибо тебе огромное!Пишу СОР, и ты прям спасаешь).
Вас заинтересует
2 года назад
2 года назад
2 года назад
2 года назад
8 лет назад
8 лет назад
9 лет назад
9 лет назад