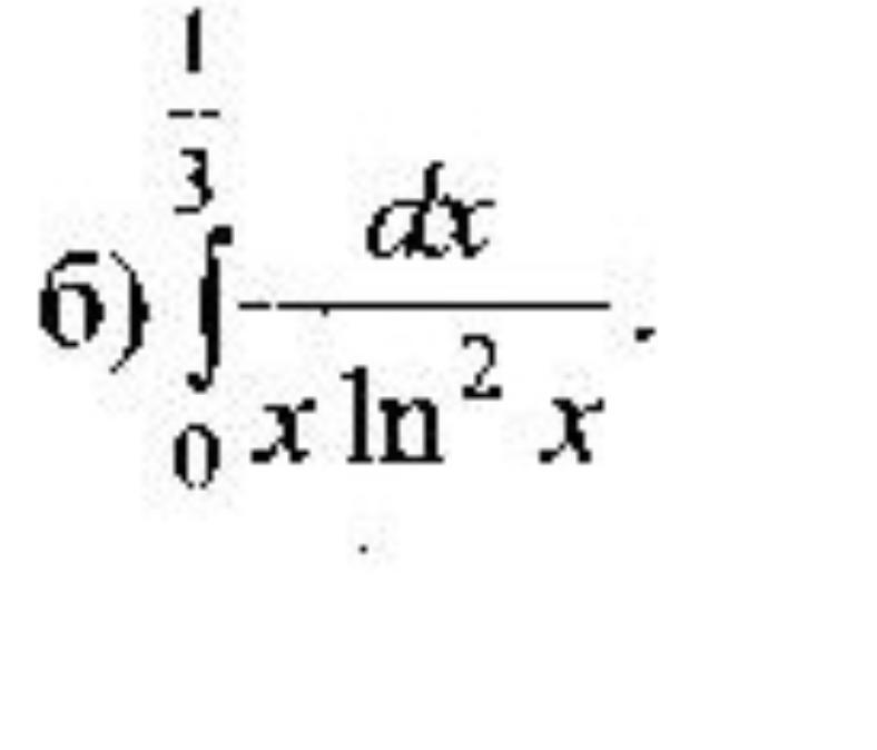
35 баллов! Помогите пожалуйста исследовать сходимость интегралов. Через замены и лимиты. Заранее спасибо ☺️
Приложения:

Ответы
Ответ дал:
1
Решил простым способом) сейчас попробую через замену и лимит
Приложения:

Вас заинтересует
2 года назад
2 года назад
2 года назад
2 года назад
8 лет назад
8 лет назад
9 лет назад