• Предмет: Алгебра
  • Автор: evaasp
  • Вопрос задан 3 года назад

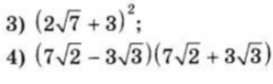
Решите примеры 8 класса!!!!!!! Много баллов!!!!!!!!!!!!!

Приложения:

Ответы

Ответ дал: Пеппер
1

3) (2√7 + 3)² = 28+12√7+9 = 37 + 12√7

4) (7√2 - 3√3)(7√2 + 3√3) = (98 - 27) - (98+27) = -54

Вас заинтересует