• Предмет: Математика
  • Автор: veronikaantipova777
  • Вопрос задан 3 года назад

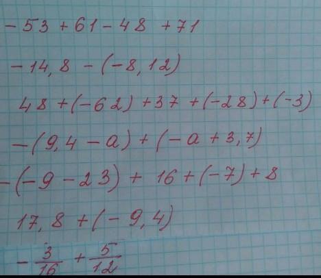
СРОЧНО НУЖНЫ ОТВЕТИ
7 ПРИМЕРОВ
ЖЕЛАТИЛЬНО ФОТКОЙ ПОЖАЛУЙСТА СРОЧНО АААААААААААААААА​

Приложения:

Ответы

Ответ дал: r9185124286000
0

вроде так

сори последнее хз (лень) ;-;

Приложения:
Вас заинтересует