Ответы
Ответ дал:
0
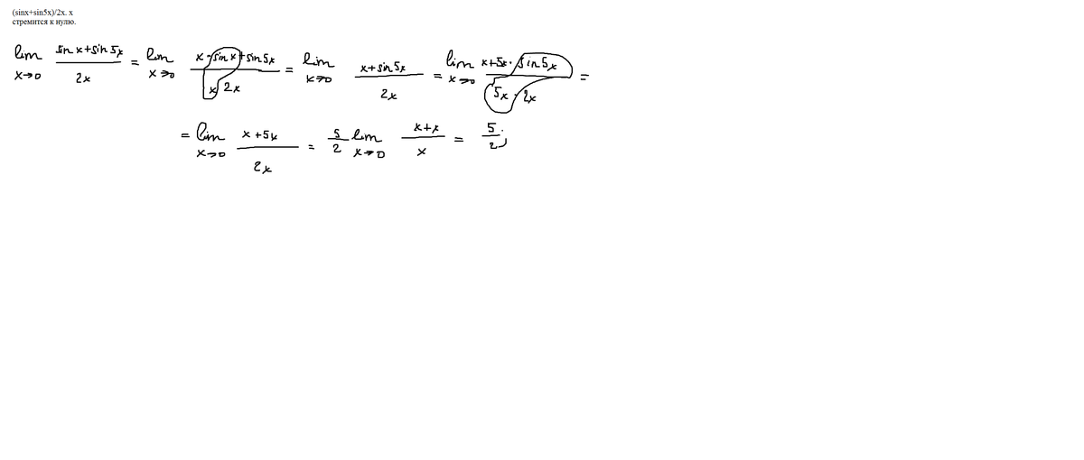
смотри решение ниже
(в приложении)
(в приложении)
Приложения:

Вас заинтересует
2 года назад
2 года назад
8 лет назад
10 лет назад
10 лет назад
10 лет назад
10 лет назад