• Предмет: Алгебра
  • Автор: alexander22771
  • Вопрос задан 3 года назад

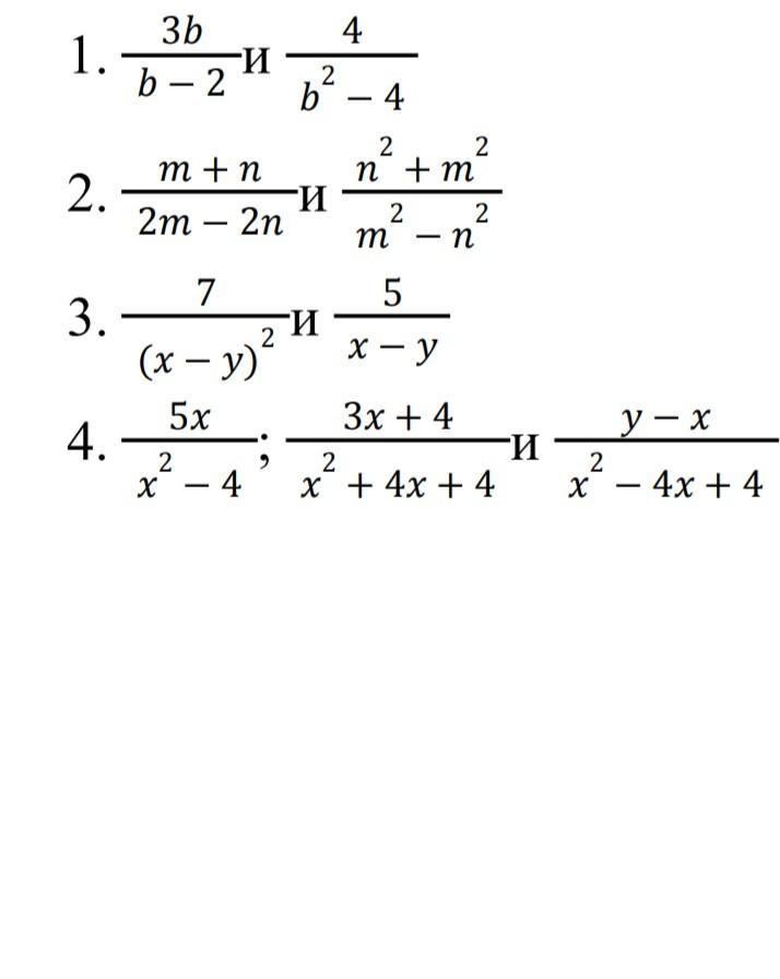
нужно привести алгебраические дроби к общему знаменателю,помогите пожалуйста​

Приложения:

Ответы

Ответ дал: eEdraz1
1

Ответ:

в задании не указано, что именно нужно сделать, поэтому я ссумировал

это их общий знаменатель(при любом раскладе):

1) ответом будет: b^2-4

2) ответом будет: 2×(m^2-n^2)

3) ответом будет: (x-y)^2

4) ответом будет: (x^2-4)^2


alexander22771: второй раз выручаешь, спасибо
eEdraz1: всегда пожалуйста)
alexander22771: а ты в геометрии шаришь?
eEdraz1: да, если есть - кидай
Вас заинтересует