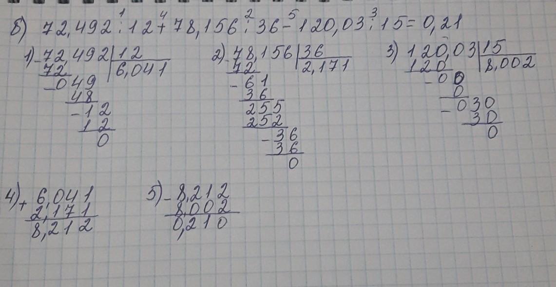
а)4,912:16+(18,305:7+0,0368:4) б)72,492:12+78,156:36-120,03:15 рещите по действиям,столбиком пж
Ответы
Ответ дал:
4
Ответ:
надеюсь помогла тебе;))
Приложения:


pavlovadiana57:
спасибо
Вас заинтересует
2 года назад
2 года назад
2 года назад
2 года назад
8 лет назад
8 лет назад
9 лет назад