• Предмет: Алгебра
  • Автор: bulka74
  • Вопрос задан 3 года назад

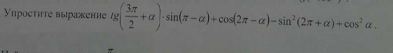
Упрастите выражение. ттттттттттт​

Приложения:

Ответы

Ответ дал: Miroslava227
1

Ответ:

tg( \frac{3\pi}{2} +   \alpha ) \times  \sin(\pi  - \alpha )  +  \cos(2\pi  - \alpha )  -  \sin {}^{2} (2\pi    +  \alpha )  +  \cos {}^{2} ( \alpha )  =  \\  = -  ctg (\alpha ) \times  \sin( \alpha )  +  \cos( \alpha )  -  \sin {}^{2} ( \alpha )  +  \cos {}^{2} ( \alpha )  =  \\  =  -  \frac{ \cos( \alpha ) }{ \sin( \alpha ) } \times   \sin( \alpha )   + \cos( \alpha )  +  \cos {}^{2} ( \alpha )  -  \sin {}^{2} ( \alpha )  =  \\  =  -  \cos( \alpha )   + \cos( \alpha )   + \cos( 2\alpha )  =  \cos( 2\alpha )


bulka74: Я спасён,спасибо
Вас заинтересует