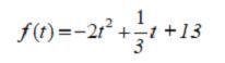
Точка движется по кривой, заданной уравнением f(t), м
Найдите ее расположение, записанное в виде (t;f(t)) в момент t = 3с
Приложения:

Pomoshni4ek2000:
misha.kak.dela
Ответы
Ответ дал:
24
Вас заинтересует
2 года назад
2 года назад
2 года назад
8 лет назад