• Предмет: Алгебра
  • Автор: dd4dh4fb8v
  • Вопрос задан 3 года назад

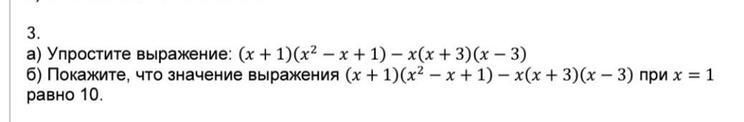
помогите пж , очень срочно

Приложения:

Ответы

Ответ дал: eva741212
1

Объяснение:

а)

 {x}^{3}  +  {1}^{3}  - x( {x}^{2}  - 9) =  \\  {x}^{3}  + 1 -  {x}^{3 }  + 9x = 1 + 9x

б)

1 + 9 \times 1 = 10

Вас заинтересует