Помоги решить
Срочно 20 бал даю
Приложения:

TimurAbushakimov2007:
ща помогу
Ответы
Ответ дал:
0
Ответ:
Пошаговое объяснение:
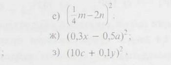
е). (1/4*m-2n)^2=1/16*m^2-2*1/4*m*2n+4n^2=1/16*m^2-mn+4n^2
ж). (0,3x-0,5a)^2=0,09x^2-0,3xa+0,25a^2
з). (10c+0,1y)^2=100c^2+2cy+0,01y^2
Вас заинтересует
2 года назад
2 года назад
2 года назад
8 лет назад
8 лет назад
9 лет назад
9 лет назад