• Предмет: Алгебра
  • Автор: ARINA210308
  • Вопрос задан 3 года назад

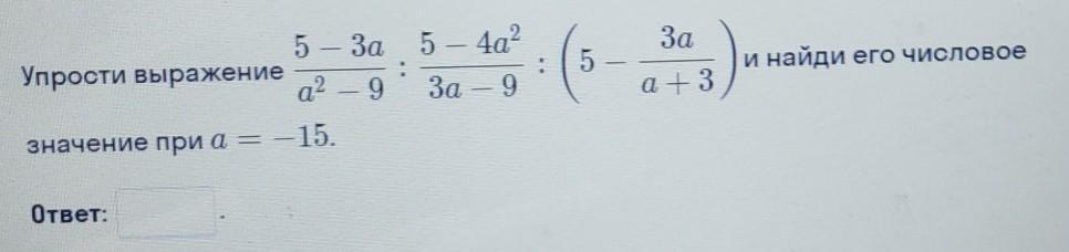
СРОЧНО!!!!Хелп
Дам много баллов ​

Приложения:

Ответы

Ответ дал: niaraalpys
1

ЕСЛИ НЕ ПОНЯТНО МОЖЕШ СПРОСИТЬ

Приложения:
Вас заинтересует