• Предмет: Математика
  • Автор: tehnot755
  • Вопрос задан 3 года назад

2×|х-4|=6пж резултат​

Ответы

Ответ дал: roza060920
0

Ответ:

Вот ответ

Пошаговое объяснение:

Приложения:
Ответ дал: aishonya2009
0

Ответ:

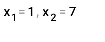
Сначала сокращаем, т.е. делим на два:

|х-4|=3

Любое число в модуле, будь то положительное или отрицательное всегда становится положительным.

Ответ: {7; 1}

|+7-4|=3

|+1-4|=3

Вас заинтересует