• Предмет: Математика
  • Автор: ali123432393736
  • Вопрос задан 3 года назад

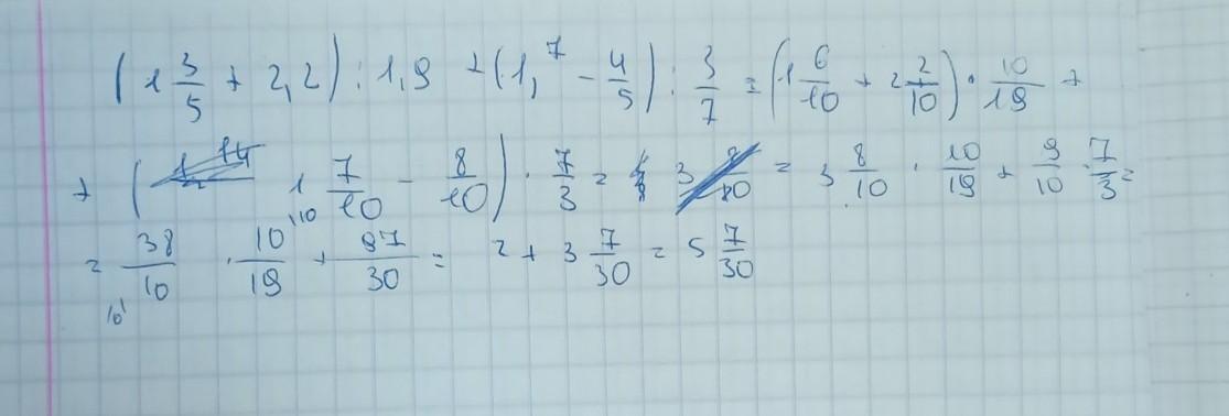
пожалуйста матем кто решит дам 20 баллов​

Приложения:

Ответы

Ответ дал: kseniya7063
2

Ответ:

Вроде так, но если не правильно то сорри

Приложения:
Вас заинтересует