• Предмет: Алгебра
  • Автор: marmix275
  • Вопрос задан 3 года назад

ПОМОГИТЕ СРОЧНО ДАЮ 100 БАЛЛОВ!!!!!!!!
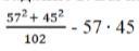
Вычислите наиболее рациональным способом:

Приложения:

Ответы

Ответ дал: DimaPuchkov
2

\frac{57^2+45^2}{102}-57\cdot 45  = \frac{(57+45)^2 -2\cdot 57\cdot 45 }{102}-57\cdot 45 =\frac{102^2-2\cdot 57\cdot 45}{102}-57\cdot 45=\\\\=\frac{102^2}{102}-\frac{2\cdot 57\cdot 45}{102}-57\cdot 45=102 -\frac{2\cdot 57\cdot 45+57\cdot 45\cdot 102}{102} =102-\frac{57\cdot 45\cdot (2+102)}{102}=\\\\=102-\frac{57\cdot 45\cdot 104}{102}=102-\frac{57\cdot 45\cdot 52}{51}=102-\frac{19\cdot 45\cdot 52}{17}=102-\frac{(20-1)\cdot (50-5)\cdot (50+2)}{17}=\\\\=102-\frac{(20-1)\cdot (50^2+100-250-10)}{17}=

=102-\frac{(20-1)\cdot (2500-160)}{17}=102-\frac{(20-1)\cdot 2340}{17}=102-\frac{46800-2340}{17}=102-\frac{44460}{17}=\\\\=\frac{102\cdot 17-44460}{17}=\frac{(100+2)\cdot 17-44460}{17}=\frac{1700+34-44460}{17}=\frac{1734-44460}{17}=-\frac{42726}{17}


marmix275: точно правильно???
Вас заинтересует