• Предмет: Математика
  • Автор: farac666
  • Вопрос задан 3 года назад

Решите пожалуйста уравнение
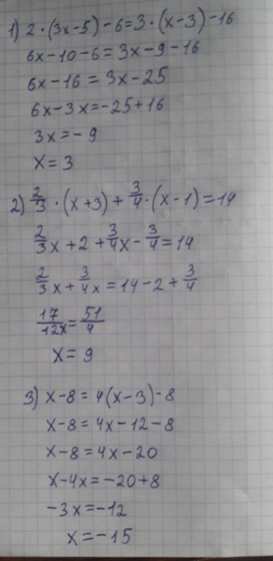
1) 2*(3x-5)-6=3*(x-3)-16
2) 2\3*(x+3)+3\4(x-1)=14
3) x-8=4(x+3)-8
4) 3*(2x-1)-5=5*(1-2x)
5) 5\6*(x+3)+1\4(x-1)=12

Ответы

Ответ дал: marinaagapova06
1

Пошаговое объяснение:

здесь всё правильно))))) хорошего настроения♡♡♡

Приложения:
Вас заинтересует