• Предмет: Алгебра
  • Автор: Аноним
  • Вопрос задан 10 лет назад

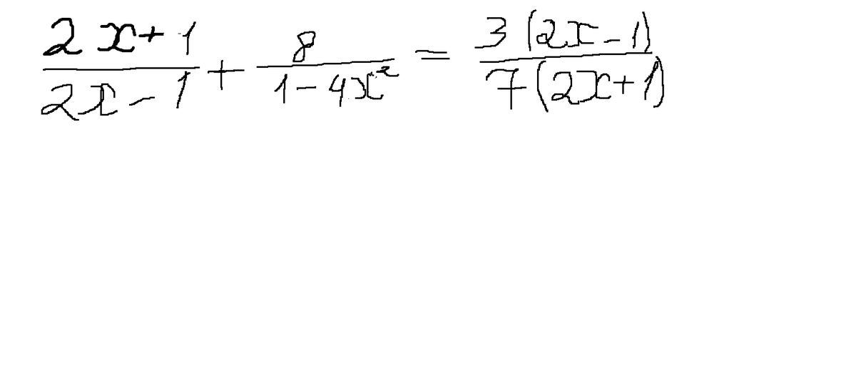
решите дробно рациональное уравнение

Приложения:

Ответы

Ответ дал: Artem112
0
 frac{2x+1}{2x-1}+ frac{8}{1-4x^2}= frac{3(2x-1)}{7(2x+1)} \ x neq pm frac{1}{2} \ 7(2x+1)^2-56=3(2x-1)^2 \ 28x^2+28x+7-56=12x^2-12x+3 \ 16x^2+40x-52=0 \ 4x^2+10x-13=0 \ D_1=25+52=77 \ x= cfrac{-5pm sqrt{77} }{4}
Ответ: x= cfrac{-5pm sqrt{77} }{4}
Ответ дал: Аноним
0
странно в ответах в конце просто 0
Ответ дал: IUV
0
(2x+1)/(2x-1) + 8/(1-4*x^2) = 3*(2x-1)/(7*(2x+1))
ОДЗ х не равно 0,5 и не равно -0,5
{7*(2x+1)^2 - 8*7 - 3*(2x-1)^2 } /(7*(4x^2-1)) = 0
{7*(2x+1)^2 - 8*7 - 3*(2x-1)^2 } /(4x^2-1) = 0
{7*(2x+1)^2 - 8*7 - 3*(2x-1)^2 } =0
7*(4x^2+4x+1) - 56- 3*(4x^2-4x+1) =0
16 x^2+40x-52=0
4x^2+10x-13=0
x1=(-5+корень(77))/4
x2=(-5-корень(77))/4
**********************










Вас заинтересует