Ответы
Ответ дал:
1
Решение приложено к снимку:
Приложения:

Ответ дал:
2
Ответы в решениях.
Объяснение:
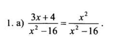
а) (3x+4)/(x²-16) = x²/(x²-16);
3x+4=x²;
x²-3x-4=0;
По теореме Виета
x1+x2=3; x1*x2=-4;
x1= -1; x2=4.
***
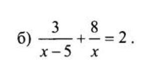
б) 3/(x-5) + 8/x = 2; [x≠0; x≠5]
3x+8(x-5) = 2x(x-5);
3x+8x-40=2x²-10x;
2x²-21x +40=0;
a=2; b=-21; c=40;
D=b²-4ac = (-21)² - 4*2*40=441- 320 = 121 >0 - 2 корня.
x1,2 = (-b±√D)/2a = (-(-21)±√121)/2*2 = (21±11)/4;
x1=(21+11)/4 = 32/4= 8;
x2 = (21-11)/4 = 10/4 = 2,5;
x1=2.5; x2=8.
Вас заинтересует
2 года назад
2 года назад
2 года назад
8 лет назад
9 лет назад