• Предмет: Математика
  • Автор: vetta80
  • Вопрос задан 3 года назад

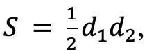
Площадь ромба S (в м2) можно вычислить по формуле где d1, d2 — диагонали ромба (в метрах). Пользуясь этой формулой, найдите диагональ , если диагональ d2 равна 30 м, а площадь ромба 120 м2.
Формула ниже

Приложения:

Ответы

Ответ дал: manyny06
2

Ответ:

решение смотри на фотографии

Приложения:

vetta80: спасибо большое!
Аноним: не правильно
Вас заинтересует