• Предмет: Физика
  • Автор: chaltabaisabina07
  • Вопрос задан 3 года назад

Помогите пожалуйста
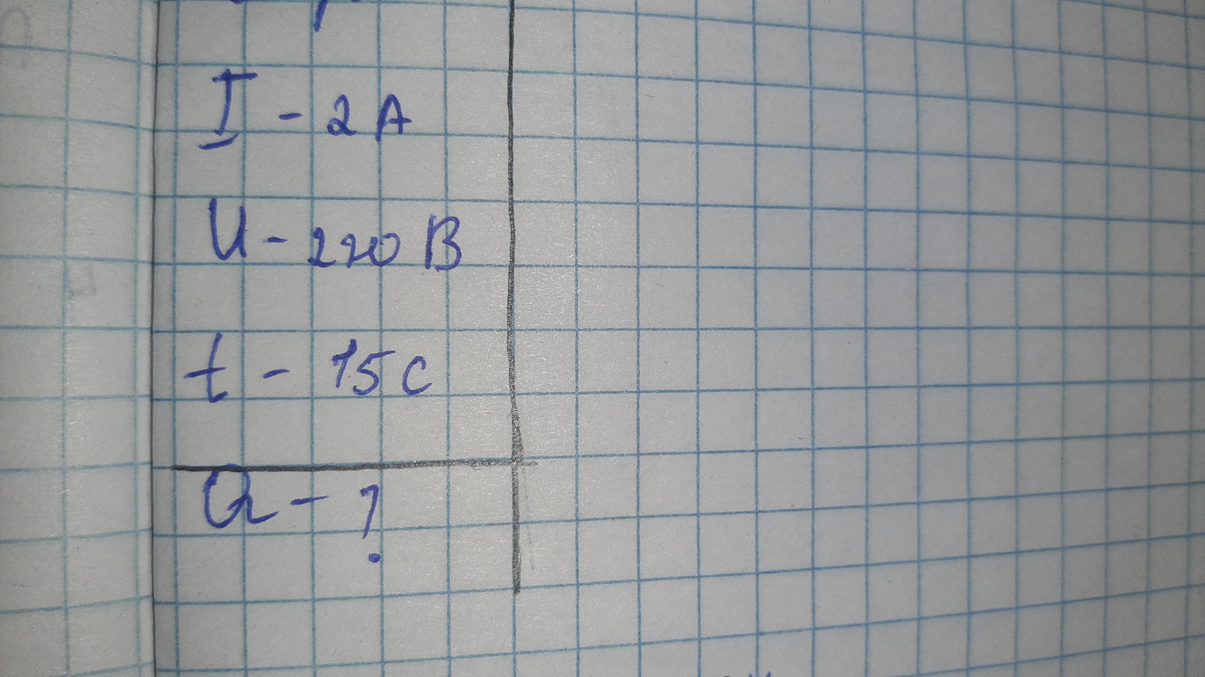
Нужно найти теплоту

Приложения:

Ответы

Ответ дал: fatt52
1

Ответ:

Объяснение:

Q=I*U*t=2*220*15=6600 Дж

===========================

Вас заинтересует