• Предмет: Алгебра
  • Автор: 3613295
  • Вопрос задан 3 года назад

даю 30 баллов!!!!!!!!

Приложения:

Ответы

Ответ дал: aiymgul84
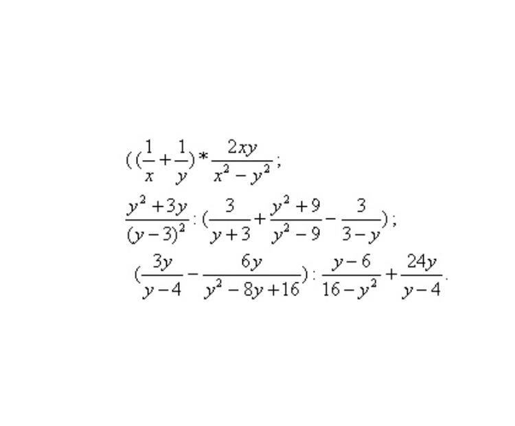
1

Ответ:

 \frac{y + x}{xy}  \times  \frac{2xy}{(x - y)(x + y)}  =  \frac{2}{x - y}

 \frac{y(y + 3)}{ {(y - 3)}^{2} }  \div \frac{3y - 9 +  {y }^{2} + 9 + 3y + 9 }{(y - 3)(y + 3)}  =  \frac{y(y + 3)}{ {(y - 3)}^{2} }  \times  \frac{(y - 3)(y + 3)}{ {y}^{2} + 6y + 9 }  =  \frac{y( {y + 3)}^{2} }{(y - 3)(y + 3 {)}^{2} }  =  \frac{y}{y - 3}

 \frac{3 {y}^{2}  - 12y - 6y}{(y - 4) {}^{2} }  \times  \frac{(y - 4)(y + 4)}{24 {y}^{2} + 96y - y + 6 }  =  \frac{3 {y}^{2}  - 18y}{ {(y - 4)}^{2} }  \times  \frac{(y - 4)(y + 4)}{24 {y}^{2} + 95y + 6 }  =  \frac{3y(y - 9)(y + 4)}{(y - 4)(24 {y}^{2} + 95y + 6) }


aiymgul84: отметьте как лучший ответ
Вас заинтересует