• Предмет: Математика
  • Автор: mariyayatsik
  • Вопрос задан 3 года назад

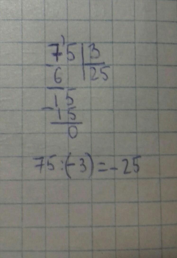
Виконайте ділення 75:(-3)=

Ответы

Ответ дал: tatsach
1

Ответ:

Пошаговое объяснение:

75:(-3)=-25

Ответ дал: EpicSans08
0

Ответ:

Ответ на фото

Пошаговое объяснение:

Ответ на фото

Приложения:
Вас заинтересует