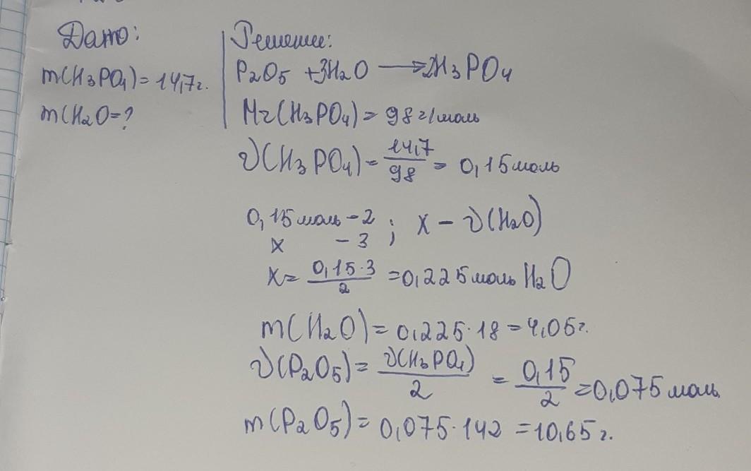
При взаимодействии оксида фосфора (V) с водой образовалось 14,7 грамм фосфорной кислоты (H3Po4). Найдите массы воды и оксида вступившие в реакцию.
Ответы
Ответ дал:
6
Объяснение:
можно лучший ответ пж))
Приложения:

Fakel682:
Прямо сейчас поставить "лучший ответ" не могу, когда будет второй ответ, поставлю обязательно.
Вас заинтересует
2 года назад
2 года назад
2 года назад
8 лет назад
8 лет назад
9 лет назад