Тема:Умножение и делание обыкновенной дроби на натуральное число.
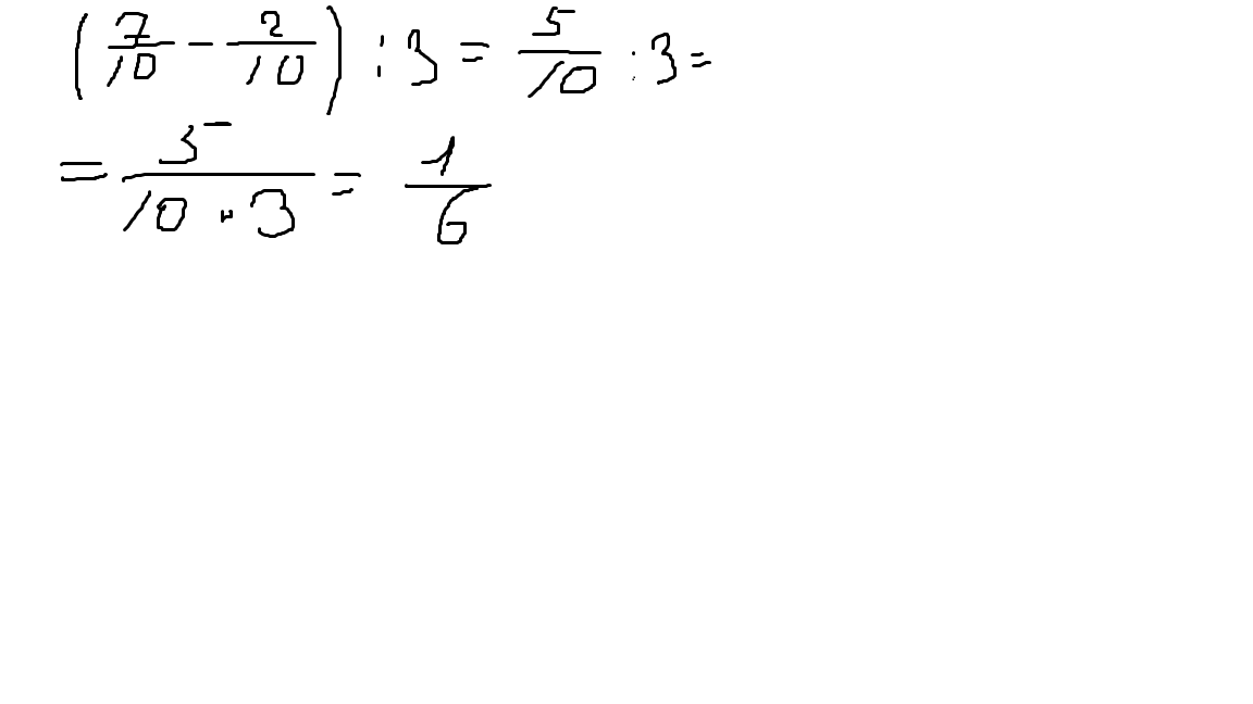
Я не могу решить вот этот пример:( 7/10-1/5) : 3
Ответы
Ответ дал:
0
Получилось вот так :)
Приложения:

Ответ дал:
0
спасиб :)
Вас заинтересует
2 года назад
2 года назад
8 лет назад
8 лет назад
10 лет назад
10 лет назад
10 лет назад