• Предмет: Алгебра
  • Автор: poshtagulia
  • Вопрос задан 10 лет назад

(√3+2)*(2-√3)   как решить??

Ответы

Ответ дал: Ekaterina1819
0
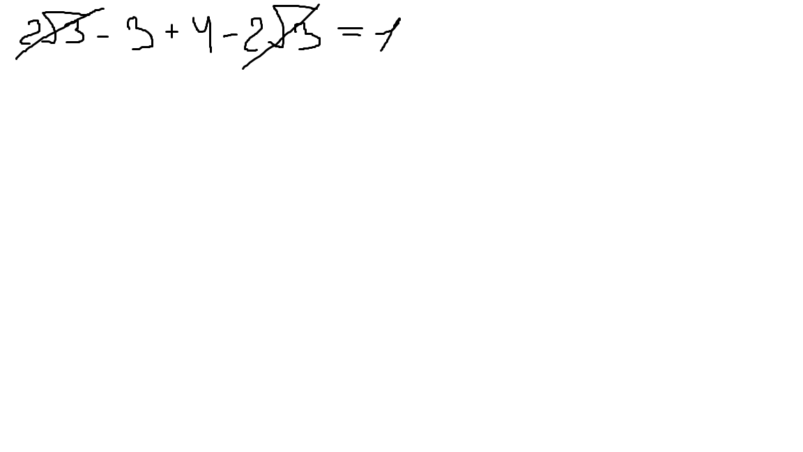
Получается вот так :)
Приложения:
Вас заинтересует