• Предмет: Математика
  • Автор: klaradzoldasova
  • Вопрос задан 3 года назад

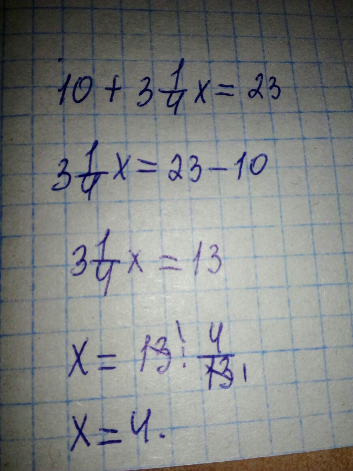
6) 10+ 3 1/4x = 23.
СРОЧНО!!!ПОЖАЛУЙСТА ОТВЕТ С ОБЪЯСНЕНИЕМ​


Аноним: привет

Ответы

Ответ дал: sasamarcepanskij
3

Ответ:

ОТВЕТ В ФОТО

Пошаговое объяснение:

Приложения:

klaradzoldasova: Извини,нечаянно сделала 3.0 балла
klaradzoldasova: А так отлично!
sasamarcepanskij: СПАСИБО
Ответ дал: BogdanMinecraft
1

Ответ:

6) 10+ 3 1/4x = 23;

3 1/4x=23-10;

3 1/4x=13;

x=13:3 1/4;

x=13/1 : 13/4;

x=4;

Вас заинтересует