Ответы
Ответ дал:
1
Ответ:
Пошаговое объяснение:
7/22
mahakoh2007:
почему 7/22?
Ответ дал:
0
Ответ:
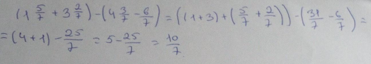
Вот ответ на твой вопрос: на фото.
Приложения:

Вас заинтересует
2 года назад
2 года назад
2 года назад
8 лет назад
8 лет назад