Ответы
Ответ дал:
0
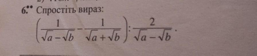
Ответ:
Надеюсь тебе все понятно и вопросов никаких не возникнет))
Надеюсь тебе все понятно и вопросов никаких не возникнет))
Приложения:
vikabutlerska:
дякую ♥️♥️♥️
Вас заинтересует
2 года назад
2 года назад
3 года назад
3 года назад
8 лет назад
8 лет назад
10 лет назад