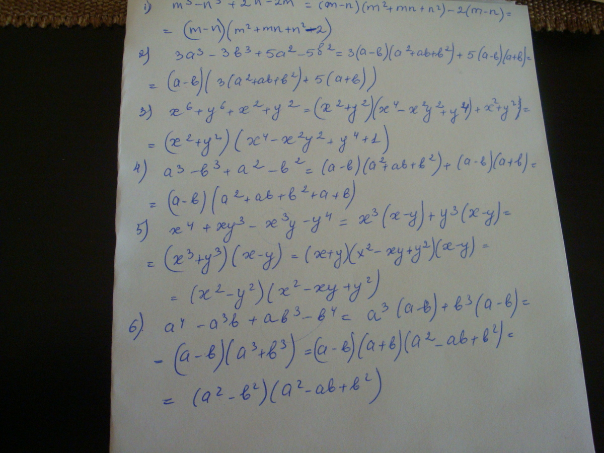
Представьте многочлен в виде произведения
1)m^3-n^3+2n-2m
2)3a^3-3b^3+5a^2-5b^2
3)x^6+y^6+x^2+y^2
4)a^3-b^3+a^2-b^2
5)x^4+xy^3-x^3y-y^4
6)a^4-a^3b+ab^3-b^4
Ответы
Ответ дал:
0
решениееееееееееееееееееее
Приложения:

Вас заинтересует
2 года назад
2 года назад
8 лет назад
10 лет назад
10 лет назад
10 лет назад